안녕하세요. 수험생 여러분!
오늘은 문과 논술 입시 성공 전략에 이어 이과 수험생들을 위한 이과 논술 준비 전략에 대해 알려드리겠습니다. 문과 논술과 이과 논술은 그 성격이 다른 만큼 문제 스타일도 차이가 납니다. 문과는 다양한 문제 유형과 지문이 출제될 수 있지만, 이과는 증명 스타일의 문제가 많습니다. 오늘 준비한 내용을 꼼꼼히 살펴보시면 이과 논술 준비 전략과 공부법을 알 수 있을 것입니다. 지금부터 주목해 주세요!
이과 논술이란
이과 논술 전형은 학생부종합전형, 학생부교과전형과는 다르게 교과 성적의 비중을 비교적 낮게 반영하고 수험생의 수리(과학) 논술 실력을 보는 수시전형입니다. 그래서 상대적으로 내신이 낮은 학생들이 대부분 지원하는 경향이 있습니다. 그렇기 때문에 논술 전형은 매년 높은 경쟁률을 기록하며 소수의 합격자가 나오기 때문에 꼼꼼히 준비해야 합니다.
📍이과 논술, 자세히 알고 싶다면?
이과 논술 입시 성공 전략 3가지
이과 논술을 준비할 때는 논술 점수를 잘 받기 위해 논술 공부를 하는 것도 중요하지만, 기본적으로 수능 시험을 잘 준비해야 하는데요. 이과 논술 전형에서 성공하는 전략은 아래 3가지입니다.
1. 수능최저학력기준 맞추기
논술 전형은 대학별로 각자 출제하여 고사를 치르기 때문에 학교마다 요구하는 응시자 수준이 다릅니다. 그 지표 중 대표적으로 수능최저학력기준이 있습니다. 이 기준은 수능 시험에서 최저 기준 점수 이상이 되어야만 이과 논술 시험을 볼 수 있다는 말입니다. 대다수 논술 전형은 수능최저학력기준을 내세우는 대학들이 많기에 수능 준비도 잘해야 논술 시험 응시 자격을 얻고 합격률을 높일 수 있다는 점을 기억하시기 바랍니다.
2. 수학, 과학 교과 개념 이해하기
수리논술 시험 내용이 수학과 과학 중심으로 출제되기에 평소 교과 과정 내에서 개념을 잘 이해하고 있어야 수리 논술을 준비하기도 수월해집니다. 논술 시험이 학교별로 다른 문제, 다양한 난이도의 문제들이 출제되긴 하지만, 그래도 큰 틀에서는 고등학교 교육과정 속에서 풀 수 있는 문제들을 냅니다. 따라서 결국은 수능 과목들의 공부가 중요하다는 점을 기억하세요!
3. 글씨체와 분량, 연습 시간 실제처럼 연습하기
이과 논술은 문과 논술과는 달리 수 개념을 표현하는 답들이 많지만, 글씨체는 이때도 또렷하고 정확하게 써야 읽기 편하고 좋은 점수를 받을 수 있습니다. 또한 분량을 너무 초과하지 않도록 신경 써야 합니다. 계산 과정까지 다 포함하면 분량이 많아지는데, 계산 과정은 적당히 작성해도 된답니다. 분량이 너무 적으면 풀이 과정이 덜 자세한 경우가 많으므로 풀이 과정을 조금 더 논리적으로 상세히 쓰는 연습을 하는 것을 추천드립니다. 연습 시 시간제한은 실제 시험 시간의 1.3배로 해서 연습을 하고, 논술 고사가 가까워질수록 시간을 줄이고 빠르게 푸는 연습을 해야 합니다.
문제 유형별 수리논술 공부법
논술 전형 대비를 위해 수리논술 독학을 하는 분들 있으신데요. 우선 자신이 응시하려고 하는 대학교 이과 논술 전형이 수리논술만 출제되는지 아니면 과학논술도 포함하는지부터 알아봐야 합니다. 대체로 수리논술을 치르는 곳들이 많은 만큼 수리논술 공부법에 대해 알려드리도록 하겠습니다.
1. 증명하는 유형의 문제
수리논술에서는 증명하는 유형의 문제들을 많이 만나게 됩니다. 명제를 증명하는 것을 논리적으로, 단계적으로 적으면 되는 문제 유형인데요. 논리적인 풀이 과정의 순서를 중점적으로 채점하기 때문에 풀이과정 중 논리적인 비약이 없는 것이 중요합니다.
응시 대학과 학과 논술 기출 문제 이해하기
가장 먼저 추천드리는 방법은 자신이 응시하고 싶은 대학과 학과 논술 기출 문제를 살펴보고 난이도와 수준을 이해하는 것입니다. 보통 의예과 논술의 경우 문제들이 아주 어려운 경우가 많아서 수학(과학)을 아주 잘하는 친구들이 아니라면 합격하기 어렵습니다. 이화여자대학교 수리논술의 경우, 교과서의 기본적인 증명을 세밀하게 증명할 수 있는가를 따지는 경우가 많습니다. 이처럼 학교별, 학과별로 난이도가 서로 많이 차이가 나기 때문에, 사전에 응시 대학의 논술 기출 문제를 잘 확인해보는 것이 좋습니다.
교과서에 나오는 증명들은 모두 이해하기
수리논술 공부법이라고 해서 어렵게 생각할 것은 없습니다. 가장 기본은 교과서와 수능특강입니다. 먼저 학교별로 출제되는 범위 안내 사항을 잘 보고 해당 과목의 교과서를 준비합니다. 그리고 교과서에 나오는 증명들을 모두 정리하고 그 증명의 흐름과 과정을 이해하는 것이 중요합니다. 왜냐하면 교과서 속 증명이 그대로 출제되거나, 그 증명의 과정이 논술 문제에 융합되어 출제될 수 있기 때문입니다. 그러므로 논술 노트를 하나 마련해서 반 페이지 정도 따라 써보는 것만으로 좋은 수리논술 연습이 됩니다. 교과서를 다 본 이후에는 학교별 기출 문제를 풀어보면서 교과서의 증명이 어떻게 이용되었는지 확인하고 응용문제도 풀어본다면 수리논술을 잘 준비할 수 있습니다.
2. 답 내는 유형의 문제
답을 추론하는 유형의 문제는 수능 주관식 문제처럼 답을 구하고 그 풀이 과정도 써야 하는데요. 이런 문제들은 수능특강에서 자주 다루는 문제들이 나옵니다. 그렇기에 모든 문제들을 주관식으로 풀어본다는 생각으로 올해 수학특강 LEVEL 2 정도 난이도의 문제와 조금 실력 있는 학생들은 LEVEL 3까지도 도전해 전부 논술식으로 풀이 과정을 써보면서 훈련해 보시기 바랍니다. 양이 조금 많을 수 있으니 조금씩 나눠서 꾸준하게 하는 것이 효과적인 수리논술 공부법입니다.
수학특강 개념을 다 확인했다면 앞의 증명 유형과 같이 논술 기출 문제를 풀어봐야 합니다. 참고로 각 대학교 홈페이지에서 매년 논술 예비 문항과 기출 문제를 공개하니 찾아서 풀어보면 도움이 됩니다. 기출 문항들이 그 학교의 큰 출제 방향성이고, 예비 문항이 그 해의 출제 경향이 되니 꼭 확인하시기 바랍니다.
채점 방식으로 알아보는 수리논술 공부법
1. 풀이 과정을 우선하기
수리논술을 준비할 때 중요한 것 중 하나가 바로 채점을 해보는 것입니다. 채점은 답 말고 풀이 과정을 우선해야 합니다. 답이 틀려도 단순 계산 실수라면 논술에서는 부분 점수를 주기 때문입니다. 수능특강 답지의 풀이 과정을 따라 채점하되, 중요한 부분은 적어도 모두 포함되어 있어야 좋은 점수를 받을 수 있습니다.
2. 논리 과정을 제대로 쓰기
수리논술 독학을 하다 보면 풀이 과정이 답지와 다른 경우들이 있는데요. 다르다고 절대 틀린 것이 아닙니다. 채점 기준이 답지에 적힌 기준이 아닐 뿐이죠. 이런 경우에는 중간에 논리적인 과정이 생략된 것이 없는가를 중점적으로 채점을 하는데요. 그렇기 때문에 논리 과정을 제대로 쓰는 것이 중요합니다.

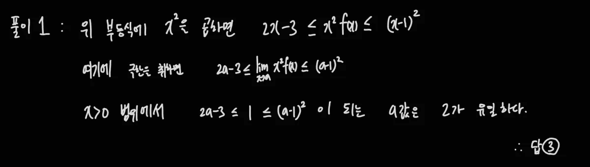
출처 : 2024 수능특강 수학II (p.14)


실제 문제로 설명하자면 풀이 1과 풀이 2 모두 틀린 풀이는 아닙니다. 다만 풀이 1은 그저 빠르게 푼 수능식 풀이고, 풀이 2는 자세하게 작성한 풀이입니다. 제가 이렇게 대조적으로 두 풀이를 적은 것은 풀이 2처럼 구체적으로 적어야 답지와 풀이 과정이 다르더라도 자신의 풀이가 논리적이라는 확신을 얻을 수 있습니다. 그래야만 더 좋은 점수를 얻을 수 있는 만큼 수리논술 독학 시 조금 시간이 걸리더라도 풀이 2처럼 엄밀하고 구체적으로 생각하는 것을 연습해 보시기 바랍니다.
오늘은 이과 논술 준비 전략과 공부법에 대해 알아보았습니다. 수리논술 공부법을 고민 중인 고3 수험생이라면 공부 시간에는 수능 수학을 공부하고, 일주일에 순수하게 2~3시간 정도만 투자해서 논술 푸는 연습을 하면 좋을 것 같습니다. 그리고 수능 준비를 게을리하지 않아야 한다는 점을 꼭 기억하시고요. 제대로 된 수능 수학 공부 1시간이 논술 공부 1시간의 가치를 가진다는 점을 염두에 두고 오늘 소개해드린 정보를 토대로 꼭 이과 논술 전형에 성공하시길 기원하겠습니다.




